Criterio di valutazione per analizzare la capacità di generare benefici monetari di un immobile e la possibilità di convertire questi benefici in valore capitale.

Criterio di valutazione per analizzare la capacità di generare benefici monetari di un immobile e la possibilità di convertire questi benefici in valore capitale.
Prosegue lo studio delle metodologie di stima iniziato nel numero 25/09 di Geopunto con il Market Comparison Approach (MCA), con l’analisi dell’Income Capitalization Approach o stima per capitalizzazione del reddito o stima analitica o stima reddituale o metodo finanziario.
L’Income Capitalization Approach comprende i metodi, le tecniche e le procedure per analizzare la capacità di generare benefici monetari di un immobile e la possibilità di convertire questi benefici in valore capitale.
Si utilizza l’Income Approach quando non si hanno a disposizione sufficienti e/o recenti dati dal mercato delle compravendite per poter utilizzare il Market Comparison Approach oppure nella verifica del valore di stima ottenuto con altri procedimenti.
Si utilizza l'Income Approach quando mancano dati dal mercato delle compravendite per poter utilizzare il MCA.
Può accadere che in un mercato immobiliare non ci sono immobili simili a quello da stimare oppure, se esistono, non sono stati oggetto di compravendite recenti. In tal caso si ricorre alla simulazione del mercato attraverso il procedimento di stima per capitalizzazione dei redditi.
L'Income Approach può basarsi sulla trasformazione del reddito di un immobile in valore capitale attraverso il saggio di capitalizzazione.
La stima del reddito si svolge nel mercato degli affitti immobiliari, dove si rilevano i contratti di immobili simili al fine di stimare il reddito da capitalizzare.
In pratica, l’Income Approach può basarsi sulla trasformazione del reddito di un immobile in valore capitale attraverso il saggio di capitalizzazione.
Il criterio trova applicazione attraverso uno schema economico-finanziario per il quale si prevedono essenzialmente la serie dei redditi dell’immobile, il saggio di capitalizzazione e la durata.
Il reddito degli immobili è dato dall’affitto annuale.

Il saggio di capitalizzazione non è una grandezza naturale espressa spontaneamente dal mercato, come il saggio di interesse, bensì è una grandezza derivata dal rapporto tra il fitto e il prezzo di un immobile.
Il primo si realizza nel segmento di mercato degli affitti, il secondo nel segmento di mercato delle compravendite.
Riveste, quindi, un’importanza particolare la rilevazione dei redditi ed il calcolo del saggio
di capitalizzazione.
L’Income Capitalization Approach si articola nei seguenti metodi:
La capitalizzazione diretta (direct capitalization) converte in modo diretto il reddito dell’immobile nel valore di stima, dividendo il reddito annuo per un saggio di capitalizzazione, oppure moltiplicandolo per un fattore (gross rent multiplier) che esprime il numero di volte per il quale il valore è maggiore del reddito dell’immobile stesso.

Nella pratica professionale, che è quella che quotidianamente applichiamo, si preferisce dividere per il saggio piuttosto che applicare il gross rent multiplier.
Per quanto riguarda il reddito, esso può essere calcolato al netto delle spese o al lordo.
In definitiva, il valore dell’immobile da stimare è dato da:
V = R*GRM oppure V = R / i, dove:
V = valore da stimare;
R = reddito annuo dell’immobile da valutare;
GRM = gross rent multiplier
i = saggio annuo di capitalizzazione.
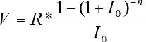
La capitalizzazione dei redditi (yield capitalization) prende in considerazione i redditi attesi di un immobile in un definito arco di tempo, nel quale si reputa che l’immobile erogherà benefici monetari.
Il valore dell’immobile è dato da:

Dove per annualità di reddito costante R (posticipate, limitate,
immediate) dell’immobile, il valore di stima V al saggio di sconto i e per la durata n è calcolato secondo la sopra riportata formula.
L’analisi del flusso di cassa scontato (discounted cash flow analisys - DCF), considera la serie dei costi e dei ricavi dal momento dell’acquisto al momento della rivendita dell’immobile da valutare, prevedendo un valore di mercato finale; si approfondirà quest’ultima metodologia nei prossimi numeri.
In merito alla ricerca del saggio di capitalizzazione (i), come detto prima, esso è calcolato con la rilevazione dei prezzi di compravendite note (Ph) e superfici note (Sh) e di contratti di affitto di immobili di fitto di mercato noto (Rj) e superficie nota (Sj), e quindi:

Questa ricerca del saggio è basata sulle formule inverse della capitalizzazione del reddito, che dà un risultato che può essere dimostrato e verificato, a differenza dell’applicazione di saggi che, nella pratica comune, è pari al valore del saggio di interesse che non ha alcuna possibilità di dimostrazione e di verifica.
Queste metodologie di stima dei valori immobiliari richiedono, comunque, un approfondimento, come la ricerca del saggio di capitalizzazione da applicare.
Ing. Geom. Maurizio Rulli